隨著人民生活水平的提升,房間空調器已經遍及千家萬戶,且目前我國空調器的年產量迅速增加[1]。房間空調器的能效標準評價體系也在逐步完善。GB21455—2019《轉速可控型房間空調器能效限定值及能效等級》[2]要求采用“全年能源消耗效率”代替僅考慮單一工況的“單點能效”和考慮制冷季節的“季節能效”作為評價空調器能效的指標,這對空調器提出了更高的設計要求。換熱器是房間空調器中重要的換熱部件,應用較為廣泛的換熱器形式有翅片管式、板翅式、微通道、管殼式等[3-7]。翅片管式換熱器的傳熱性能好、環境適應能力強、結構堅固、價格適中,因此被廣泛應用于房間空調器[8]。翅片管式換熱器的空氣側熱阻占總傳熱熱阻的80%左右,故強化空氣側換熱是改進換熱器換熱性能的重要手段。翅片表面開窗或改變翅片表面的形狀可以提高對流傳熱系數并強化空氣側傳熱性能[9]。常用的強化傳熱翅片種類包括波紋翅片、百葉窗翅片以及橋縫翅片等[10]。
對于不同翅片結構對翅片性能的影響,學者已經做了大量的研究。朱珊云等[11]探究百葉窗翅片的翅片間距和相對開窗高度對5mm管徑翅片管式換熱器空氣側傳熱與阻力特性的影響。研究表明,當翅片間距在.30~1.50mm內時,空氣側努塞爾數Nu和阻力系數f均隨翅片間距的增加而減小;當Re在457~2907內,相對開窗高度對百葉窗翅片管式換熱器傳熱性能的影響與Re有關,減小相對開窗高度可以改善空氣側阻力性能和對流傳熱性能,且傳熱熱阻主要集中在空氣側,可以適當提高迎面風速強化空氣側傳熱性能。DuY.J.等[12]對管徑為7.52~10.34mm的百葉窗翅片管式換熱器傳熱與阻力特性的特征數關聯式進行了擬合。YanW.M.等[13]對包括平翅片、百葉窗翅片和波紋翅片在內的36種翅片管式換熱器展開了試驗研究,結果表明:雷諾數相同的情況下,百葉窗翅片的表面傳熱因子j和阻力系數f大于平翅片和波紋翅片的;3種類型翅片中,百葉窗翅片單位溫差和單位容積下的傳熱性能最佳。KongY.Q.等[14]采用數值模擬方法探究了不同橫、縱向管間距下平翅片和百葉窗翅片管式換熱器的傳熱和壓降特性,結果表明,相對平翅片而言,百葉窗翅片管式換熱器的傳熱性能得到了改善,但產生的壓降較高;管間距不會對阻力系數f產生太大影響,而管間距的增加會導致Nu數有所下降,因此減小橫、縱向管間距有利于改善對流傳熱性能。A.Erek等[15]用數值模擬方法研究了翅片幾何形狀的變化對翅片管式換熱器換熱和壓降的影響,結果表明,翅片間距改變時空氣側壓降明顯變化。
筆者以現有的一款應用于7mm管徑翅片管式換熱器的百葉窗翅片作為設計參考,尋求應用于5mm管徑翅片管式換熱器的百葉窗翅片方案。
對于新設計的適用于5mm管徑翅片管式換熱器的百葉窗翅片,分別改變換熱管縱向管間距和百葉窗翅片開窗角度,通過數值模擬研究不同結構對空氣側性能的影響。
1、數值模型
1.1物理模型本文研究對象為百葉窗翅片,其物理模型如圖1所示。7mm管徑的翅片結構參數見表1。

翅片在換熱器中周期性排布,且翅片單元之間是相互對稱關系,在考慮計算機計算能力與效率后,選定換熱器2列換熱管中間的空氣流通區域作為數值模擬區域。如圖2所示,數值模擬區域的高度為Pt/2;為避免計算過程中產生回流現象,計算區域進口段向翅片區域上游延長2倍管外徑距離,出口段向翅片區域下游延長4倍管外徑距離,故數值模擬區域的長度為2Pl+6Dc。數值模擬區域的寬度取Fp,且翅片布置在數值模擬區域正中間1/2Fp位置處。

1.2邊界條件及控制方程
1.2.1邊界條件
邊界條件設置如下:空氣進口設置為速度進口,風速vin為1~5m/s,溫度為35℃;空氣出口設置為自由出流邊界;將與翅片表面平行的2個空氣域平面設置為周期性邊界;由于翅片單元具有對稱性,將垂直于翅片表面的2個空氣域平面設置為對稱邊界;將管壁設置為45℃的恒溫壁面。
1.2.2控制方程空氣被認為是連續性的不可壓縮流體,并假定其流動是三維穩態湍流。采用標準湍流k-ε方程和增強壁面函數相結合的求解方法,在計算域內對不同結構百葉窗翅片的傳熱和空氣流動特性進行仿真研究,忽略銅管與鋁翅片之間的接觸熱阻,并假定管壁溫度不變。采用SIMPLE算法對控制方程進行離散,實現壓力與速度的耦合計算。
連續性、動量和能量的控制方程[16]如下所示:
1)連續性方程

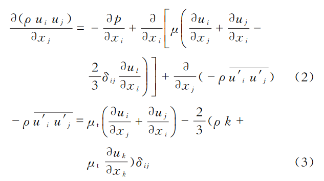
2)動量方程

式中:ρ為空氣密度(kg/m3);ui,uj和uk為空氣速度分量(m/s);ul為平均速度分量(m/s);p為空氣壓力(Pa);μ為空氣的動力黏度(Pa.s);δij為平均應變率;μt為湍流動力黏度(Pa.s);k為空氣湍流動能(m2/s2)。
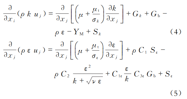
3)湍流動能k和湍流耗散率ε方程

式中:ε為湍流耗散率(m2/s3);σk為湍流動能的湍流普朗特數;σε為湍流耗散率的湍流普朗特數;ν為空氣運動黏度(m2/s);C1,C2,C1ε,C3ε為模型常數;Gk為由于平均速度梯度產生的湍流動能生成項(J);Gb為浮力引起的湍流動能生成項(J);YM為可壓縮湍流脈動膨脹對總耗散率的貢獻值(J);Sk和Sε為用戶定義的源項。
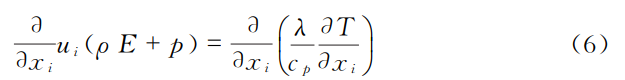
4)能量方程

式中:E為總能量(J);λ為空氣導熱系數(W/(m.K));cp為定壓比熱容(J/(kg.K))。
翅片中的能量傳遞方程:

式中kf為翅片的導熱系數(W/(m.K))。
1.3數據處理
計算模型只考慮空氣側的流動與換熱,不考慮翅片與銅管的接觸熱阻以及銅管的導熱熱阻,利用效能-傳熱單元數法計算空氣側的表面傳熱系數。由于管壁面溫度被設為定值,即管壁面的比熱容可以認為無限大,不引起管壁溫度的變化,因此將效能εh與傳熱單元數NTU之間的關系簡化為[17]:

式中:tain為空氣入口溫度(℃);taout為空氣出口溫度(℃);tw為銅管管壁溫度(℃)。
式(8)中的傳熱單元數NTU可由下式計算得到:

式中:qm為空氣質量流量(kg/s);η0為翅片管式換熱器的翅片效率(%);h0為換熱器空氣側表面傳熱系數(W/(m2.K));A0為換熱器翅片和銅管總表面積(m2)。
翅片效率η0的計算由Schmid近似準則[18]得到:

式中:Af為換熱器翅片表面積(m2);m和φ為與翅片結構參數相關的常量;Dc為銅管的直徑(m)。
利用上述方程,通過迭代求解空氣側傳熱系數和翅片效率。此外,數值模擬中需要計算的換熱器流動與傳熱的無量綱參數如下:

式中:umax為換熱器最小流動截面處空氣流速(m/s);Ac為最小流動截面面積(m2);Δp為空氣側壓降(Pa)。
1.4數學模型驗證
1.4.1網格無關性驗證
使用FluentMeshing劃分網格,在可行的情況下優先選擇結構化網格,即六面體網格。為保證數值方法的準確性和可靠性,對網格獨立性進行驗證。采用89萬個、117萬個、157萬個、185萬個、201萬個和235萬個網格單元進行計算,空氣側壓降和熱流密度如圖3所示。當網格數量從201萬個增加到235萬個時,熱流密度變化0.9%,而壓降只變化0.04%,這表明當網格數量超過201萬個后,網格數量的增加對空氣側壓降和熱流密度計算結果的影響可忽略不計,因此認為201萬個網格單元具有網格獨立性。

1.4.2計算模型驗證
為驗證百葉窗翅片管式換熱器計算模型的正確性和可靠性,將仿真計算結果與WangC.C.等[19]經過大量試驗總結出的關聯式進行比較。圖4所示為傳熱因子j(簡稱j因子)和阻力系數f(簡稱f因子)的數值模擬結果和關聯式之間的對比。可以看出,在低雷諾數(Re<1000)時,仿真計算得到的j因子和f因子與根據試驗關聯式計算的結果偏差較大,最大為14.6%;在高雷諾數(Re>1000)時,仿真計算得到的j因子和f因子與根據試驗關聯式計算的結果偏差較小,在±15%之內。因此,本文中的百葉窗翅片管式換熱器模型是可靠的。

2、翅片結構對空氣側性能的影響
2.1百葉窗開窗角度
劉妮等[20]對百葉窗翅片開窗角度為20°~40°時空氣側性能進行研究,結果表明百葉窗開窗角度大于35°時空氣側性能較差。因此,筆者將百葉窗開窗角度的研究范圍定為10°~30°:以現有的開窗角度25.3°的百葉窗翅片作為基準,對開窗角度為10.0°,15.0°,20.0°,25.3°和30.0°的翅片進行數值研究。y=0.4mm截面上空氣溫度分布如圖5所示,可以看出,增大開窗角度可以提高后排管空氣的平均溫度,這是由于增大開窗角度增強了對空氣流動的擾動,減小了換熱管后的空氣尾流區域,同時也增大了空氣側壓降。

通過數值模擬計算了5種入口風速(1.0m/s,2.0m/s,3.0m/s,4.0m/s和5.0m/s)下的換熱特性,對比了相同風速條件下不同開窗角度的空氣側換熱量和表面傳熱系數,以此分析開窗角度對空氣側傳熱性能的影響,模擬結果如圖6所示。

從圖6可以看出,在相同風速下,換熱量和空氣側表面傳熱系數都隨著開窗角度的增大而增大,但當開窗角度大于20°時,提升幅度降低。另外,迎面風速為3.0m/s時,開窗角度由10°增加到20°和30°后,傳熱系數分別增加了25.5%和26.2%,計算得出風機功率從5.242W分別增加至9.361W和12.337W,說明當開窗角度大于20°時,繼續增大開窗角度空氣側傳熱系數略有提升,但風機功率的增幅更大。
2.2換熱管縱向管間距
對于換熱器換熱性能的優化,其中一種方法是減小換熱管的縱向管間距,實現在有限的縱向空間中排布更多的換熱管,從而增大換熱面積;縮小換熱管的管間距可以增強空氣流過前后排管的混合程度,增強換熱能力。筆者以百葉窗開窗角度20°為基準,研究換熱管縱向管間距變化(15.0mm,16.0mm,17.1mm,18.2mm和19.0mm)對空氣側性能的影響。
迎面風速為5.0m/s時,5種管間距的空氣側性能計算結果見表2。可以看出,空氣側的壓降隨著管間距的增大逐漸減小,當管間距大于17.1mm時變化幅度低于0.6%,即可以認為壓降隨管間距的變化可以忽略。出現這種現象的主要原因是,管間距減小使得空氣側流過管排的最小截面處的流速增大,流動阻力增大。
由圖7可見,在相同迎面風速下,隨著管間距的減小,空氣側表面傳熱系數有所上升,換熱量有所增加。當管間距小于17.1mm時換熱量增加幅度不明顯。

綜合考慮換熱量、風機功率、翅片效率、空氣側傳熱系數和換熱器總體成本等因素后,確定百葉窗開窗角度為20°,管間距為17.1mm時,翅片管式換熱器空氣側性能最優。
3、結論
筆者通過CFD仿真研究了百葉窗翅片的開窗角度和換熱管管間距對空氣側性能的影響,研究結論如下:
1)在相同的迎面風速下,空氣側的換熱量和表面傳熱系數均隨著百葉窗開窗角度的增大有所提升,但當開窗角度大于20°時,提升幅度降低,且繼續增大開窗角度會引起風機功率的大幅增加。所以開窗角度較為合理的設計為20°。
2)在開窗角度為20°的基礎上,空氣側的壓降隨著管間距的增大而逐漸減小,當管間距大于17.1mm時壓降隨管間距的變化可以忽略;換熱量隨著管間距的減小而增大,且當管間距小于17.1mm時,換熱量增加幅度不明顯。
故綜合考慮換熱量、風機功率、空氣側表面傳熱系數等因素后,確定管間距為17.1mm時性能最優。
參考文獻
[1] 馬國遠,高磊,劉帥領,等.制冷空調用換熱器研究進 展[J].制冷與空調,2023,23(4):88-100.
[2] 中國國家標準化管理委員會.轉速可控型房間空調器 能效限定值及能效等級:GB21455—2019[S].北京:中國標準出版社,2019.
[3] 郭夢茹,蔡姍姍,陳煥新,等.翅片管式冷凝器性能分 析及多目標優化[J].制冷與空調,2018,18(4):93-98.
[4] 馬迪,譚裕鋒,呂根貴,等.房間空調器小管徑室外換 熱器流路優化[J].西安交通大學學報,2024,58(5):179-189.
[5] 余鑫泉,盛健,張華,等.空調用翅片管式換熱器腐蝕 及防護研究進展[J].制冷學報,2022,43(1):1-10.
[6] 朱傳輝,李保國,楊會芳.微通道換熱器研究及應用進 展[J].熱能動力工程,2020,35(9):1-9.
[7] 靳自霞.翅片管式換熱器百葉窗結構參數優化[J].制 冷與空調,2023,23(7):9-13,17.
[8] 丁國良.制冷空調用換熱器的高效傳熱技術[J].制冷 與空調,2023,23(4):57-66.
[9] WU G M,YUB,REN T,etal.Modelingandexperimentalinvestigationoncomprehensiveperformanceof perforatedwavyfinsforheatpumptypeairconditionersatfrostingandnon-frostingconditions[J].Energy andBuildings,2020,225:110342.
[10]李璐璐,劉中良,李艷霞,等.不同翅片類型對換熱器 性能影響的模擬計算[J].節能,2020,39(6):62-65.
[11] 朱珊云,戴源德,曹杰,等.小管徑開縫翅片管式換熱 器空氣側傳熱綜合性能研究[J].流體機械,2022,50(5):68-75.
[12] DU YJ,WANGCC.Anexperimentalstudyofthe airsideperformanceofthesuperslitfin-and-tubeheat exchangers[J].InternationalJournalof Heatand MassTransfer,2000,43(24):4475-4482.
[13] YAN W M,SHEEN PJ.Heattransferandfriction characteristicsoffin-and-tubeheatexchangers[J].InternationalJournalof Heatand Mass Transfer,2000,43(9):1651-1659.
[14] KONGYQ,YANGLJ,DUXZ,etal.Air-sideflow andheattransfercharacteristicsofflatandslotted finnedtubebundleswithvarioustubepitches[J].InternationalJournalof Heat and Mass Transfer,2016,99:357-371.
[15] EREK A,ZERDEM B,BILIRL,etal.Effectofgeometricalparametersonheattransferandpressure dropcharacteristicsofplatefinandtubeheatexchangers[J].Applied ThermalEngineering,2005,25(14-15):2421-2431.
[16] LIU X Q,WANG M,LIU H H,etal.Numerical analysisonheattransferenhancementofwavyfin-tube heatexchangersforair-conditioningapplications[J].AppliedThermalEngineering,2021,199:117597.
[17]陶文銓.傳熱學[M].北京:高等教育出版社,2019:470-472.
[18] WONGWISES S,CHOKEMAN Y.Effectoffin pitchandnumberoftuberowsontheairsideperformanceofherringbonewavyfinandtubeheatexchangers[J].EnergyConversionand Management,2005,46(13-14):2216-2231.
[19] WANG C C,LEE C J,CHANG C T,etal.Heat transferandfrictioncorrelationforcompactlouveredfinand-tubeheatexchangers[J].InternationalJournalof HeatandMassTransfer,1999,42(11):1945-1956.
[20]劉妮,李歡,單小豐,等.百葉窗翅片管換熱器空氣側 傳熱和流動特性數值模擬[J].熱能動力工程,2021,36(6):70-77.
相關鏈接